Cho đoạn mạch điện gồm điện trở R , cuộn dây thuần cảm L và tụ điện C mắc nối tiếp.
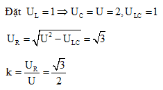
Cho đoạn mạch điện gồm điện trở R , cuộn dây thuần cảm L và tụ điện C mắc nối tiếp. Đặt vào hai đầu đoạn mạch điện áp xoay chiều có tần số và điện áp hiệu dụng không đổi. Dùng vôn kế nhiệt có điện trở rất lớn lần lượt đo điện áp giữa hai đầu đoạn mạch, hai đầu tụ điện và hai đầu cuộn dây thì số chỉ của vôn kế có giá trị tương ứng là U, UC và UL. Biết U = UC = 2UL. Hệ số công suất của mạch điện bằng:
Đáp án đúng là: B
Quảng cáo
Đáp án cần chọn là: B
>> 2K9 Chú ý! Lộ Trình Sun 2027 - 1 lộ trình ôn đa kỳ thi (TN THPT, ĐGNL (Hà Nội/ Hồ Chí Minh), ĐGNL Sư Phạm, ĐGTD, ĐGNL Bộ Công an, ĐGNL Bộ Quốc phòngTD - Click xem ngay) tại Tuyensinh247.com. Cập nhật bám sát bộ SGK mới, Thầy Cô giáo giỏi, 3 bước chi tiết: Nền tảng lớp 12; Luyện thi chuyên sâu; Luyện đề đủ dạng đáp ứng mọi kì thi.
![]() |
![]() |
![]() |
![]() |
![]() |
![]() |
![]() |
![]() |
Hỗ trợ - Hướng dẫn
-
024.7300.7989
-
1800.6947
(Thời gian hỗ trợ từ 7h đến 22h)
Email: lienhe@tuyensinh247.com












