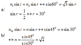
Chiếu một tia sáng từ không khí vào môi trường thủy tinh có chiết suất . a/ Tính góc khúc xạ
Chiếu một tia sáng từ không khí vào môi trường thủy tinh có chiết suất
.
a/ Tính góc khúc xạ trong trường hợp góc tới bằng 600.
b/ Nếu chiếu tia sáng từ không khí vào một môi trường trong suốt khác có chiết suất n với góc tới bằng 450 thì góc khúc xạ là 300. Tính chiết suất n.
Quảng cáo
>> 2K9 Chú ý! Lộ Trình Sun 2027 - 1 lộ trình ôn đa kỳ thi (TN THPT, ĐGNL (Hà Nội/ Hồ Chí Minh), ĐGNL Sư Phạm, ĐGTD, ĐGNL Bộ Công an, ĐGNL Bộ Quốc phòngTD - Click xem ngay) tại Tuyensinh247.com. Cập nhật bám sát bộ SGK mới, Thầy Cô giáo giỏi, 3 bước chi tiết: Nền tảng lớp 12; Luyện thi chuyên sâu; Luyện đề đủ dạng đáp ứng mọi kì thi.
![]() |
![]() |
![]() |
![]() |
![]() |
![]() |
![]() |
![]() |
Hỗ trợ - Hướng dẫn
-
024.7300.7989
-
1800.6947
(Thời gian hỗ trợ từ 7h đến 22h)
Email: lienhe@tuyensinh247.com












