Trong thí nghiệm Y-âng về giao thoa với ánh sáng đơn sắc, màn quan sát cách mặt phẳng chứa
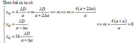
Trong thí nghiệm Y-âng về giao thoa với ánh sáng đơn sắc, màn quan sát cách mặt phẳng chứa hai khe hẹp một khoảng không đổi D, a là khoảng cách giữa hai khe hẹp thay đổi được. Xét điểm M trên màn lúc đầu là vân sáng bậc 4. Nếu giảm hoặc tăng khoảng cách giữa hai khe hẹp một lượng \(\Delta a\) thì tại M là vân sáng bậc k và vân sáng bậc 3k. Nếu tăng khoảng cách giữa hai khe hẹp thêm một lượng 2 thì tại M là
Đáp án đúng là: B
Quảng cáo
Đáp án cần chọn là: B
>> 2K9 Chú ý! Lộ Trình Sun 2027 - 1 lộ trình ôn đa kỳ thi (TN THPT, ĐGNL (Hà Nội/ Hồ Chí Minh), ĐGNL Sư Phạm, ĐGTD, ĐGNL Bộ Công an, ĐGNL Bộ Quốc phòngTD - Click xem ngay) tại Tuyensinh247.com. Cập nhật bám sát bộ SGK mới, Thầy Cô giáo giỏi, 3 bước chi tiết: Nền tảng lớp 12; Luyện thi chuyên sâu; Luyện đề đủ dạng đáp ứng mọi kì thi.
![]() |
![]() |
![]() |
![]() |
![]() |
![]() |
![]() |
![]() |
Hỗ trợ - Hướng dẫn
-
024.7300.7989
-
1800.6947
(Thời gian hỗ trợ từ 7h đến 22h)
Email: lienhe@tuyensinh247.com












