Cho một đoạn mạch điện nối tiếp theo thứ tự gồm điện trở R, tụ điện có điện dung C
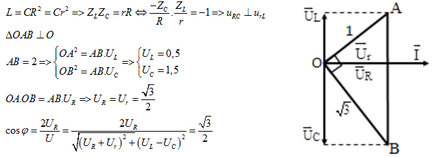
Cho một đoạn mạch điện nối tiếp theo thứ tự gồm điện trở R, tụ điện có điện dung C và cuộn dây có độ tự cảm L, điện trở r. Biết L = CR2 = Cr2. Đặt vào hai đầu đoạn mạch một điện áp xoay chiều có tần số và giá trị hiệu dụng không đổi. Biết điện áp hiệu dụng hai đầu đoạn mạch RC gấp
lần điện áp hiệu dụng hai đầu cuộn dây. Hệ số công suất của đoạn mạch gần giá trị nào nhất ?
Đáp án đúng là: B
Quảng cáo
Đáp án cần chọn là: B
>> 2K9 Chú ý! Lộ Trình Sun 2027 - 1 lộ trình ôn đa kỳ thi (TN THPT, ĐGNL (Hà Nội/ Hồ Chí Minh), ĐGNL Sư Phạm, ĐGTD, ĐGNL Bộ Công an, ĐGNL Bộ Quốc phòngTD - Click xem ngay) tại Tuyensinh247.com. Cập nhật bám sát bộ SGK mới, Thầy Cô giáo giỏi, 3 bước chi tiết: Nền tảng lớp 12; Luyện thi chuyên sâu; Luyện đề đủ dạng đáp ứng mọi kì thi.
![]() |
![]() |
![]() |
![]() |
![]() |
![]() |
![]() |
![]() |
Hỗ trợ - Hướng dẫn
-
024.7300.7989
-
1800.6947
(Thời gian hỗ trợ từ 7h đến 22h)
Email: lienhe@tuyensinh247.com












