Một con lắc lò xo treo thẳng đứng, vật nặng có khối lượng m = 250 g. Chọn trục tọa độ Ox
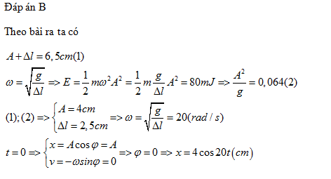
Một con lắc lò xo treo thẳng đứng, vật nặng có khối lượng m = 250 g. Chọn trục tọa độ Ox thẳng đứng, chiều dương hướng xuống dưới, gốc tọa độ tại vị trí cân bằng. Vật được thả nhẹ từ vị trí lò xo giãn 6,5 cm. Vật dao động điều hòa với năng lượng 80 mJ. Lấy gốc thời gian lúc thả vật và g = 10 m/s2. Phương trình dao động của vật là
Đáp án đúng là: B
Quảng cáo
Đáp án cần chọn là: B
>> 2K9 Chú ý! Lộ Trình Sun 2027 - 1 lộ trình ôn đa kỳ thi (TN THPT, ĐGNL (Hà Nội/ Hồ Chí Minh), ĐGNL Sư Phạm, ĐGTD, ĐGNL Bộ Công an, ĐGNL Bộ Quốc phòngTD - Click xem ngay) tại Tuyensinh247.com. Cập nhật bám sát bộ SGK mới, Thầy Cô giáo giỏi, 3 bước chi tiết: Nền tảng lớp 12; Luyện thi chuyên sâu; Luyện đề đủ dạng đáp ứng mọi kì thi.
![]() |
![]() |
![]() |
![]() |
![]() |
![]() |
![]() |
![]() |
Hỗ trợ - Hướng dẫn
-
024.7300.7989
-
1800.6947
(Thời gian hỗ trợ từ 7h đến 22h)
Email: lienhe@tuyensinh247.com













