Một tụ điện có điện dung C tích điện Q0. Nếu nối tụ điện với cuộn cảm thuần có độ
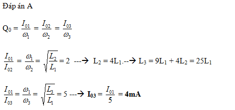
Một tụ điện có điện dung C tích điện Q0. Nếu nối tụ điện với cuộn cảm thuần có độ tự cảm L1 hoặc với cuộn cảm thuần có độ tự cảm L2 thì trong mạch có dao động điện từ tự do với cường độ dòng điện cực đại là 20mA hoặc 10mA. Nếu nối tụ điện với cuộn cảm thuần có độ tự cảm L3=(9L1 + 4L2) thì trong mạch có dao động điện từ tự do với cường độ dòng điện cực đại là
Đáp án đúng là: A
Quảng cáo
Đáp án cần chọn là: A
>> 2K9 Chú ý! Lộ Trình Sun 2027 - 1 lộ trình ôn đa kỳ thi (TN THPT, ĐGNL (Hà Nội/ Hồ Chí Minh), ĐGNL Sư Phạm, ĐGTD, ĐGNL Bộ Công an, ĐGNL Bộ Quốc phòngTD - Click xem ngay) tại Tuyensinh247.com. Cập nhật bám sát bộ SGK mới, Thầy Cô giáo giỏi, 3 bước chi tiết: Nền tảng lớp 12; Luyện thi chuyên sâu; Luyện đề đủ dạng đáp ứng mọi kì thi.
![]() |
![]() |
![]() |
![]() |
![]() |
![]() |
![]() |
![]() |
Hỗ trợ - Hướng dẫn
-
024.7300.7989
-
1800.6947
(Thời gian hỗ trợ từ 7h đến 22h)
Email: lienhe@tuyensinh247.com













