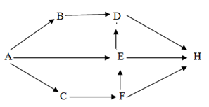
Câu 13: Hãy nghiên cứu sơ đồ dưới đây minh họa lưới thức ăn trong một hệ sinh thái gồm
Câu 13: Hãy nghiên cứu sơ đồ dưới đây minh họa lưới thức ăn trong một hệ sinh thái gồm các loài sinh vật: A, B, C, D, D, E, F, HCho các kết luận sau đây về lưới thức ăn này
(1). Lưới thức ăn này có tối đa 6 chuỗi thức ăn
(2). Loài D tham gia vào 2 chuỗi thức ăn khác nhau
(3). Loài E tham gia vào nhiều chuỗi thức ăn hơn loài F
(4). Nếu loại bỏ loài B ra khỏi quần xã thì loài D sẽ mất đi
(5). Có 2 loài thuộc bậc dinh dưỡng cấp 5
Các phương án trả lời đúng là
Đáp án đúng là: B
Quảng cáo
Đáp án cần chọn là: B
>> 2K9 Chú ý! Lộ Trình Sun 2027 - 1 lộ trình ôn đa kỳ thi (TN THPT, ĐGNL (Hà Nội/ Hồ Chí Minh), ĐGNL Sư Phạm, ĐGTD, ĐGNL Bộ Công an, ĐGNL Bộ Quốc phòngTD - Click xem ngay) tại Tuyensinh247.com. Cập nhật bám sát bộ SGK mới, Thầy Cô giáo giỏi, 3 bước chi tiết: Nền tảng lớp 12; Luyện thi chuyên sâu; Luyện đề đủ dạng đáp ứng mọi kì thi.
![]() |
![]() |
![]() |
![]() |
![]() |
![]() |
![]() |
![]() |
Hỗ trợ - Hướng dẫn
-
024.7300.7989
-
1800.6947
(Thời gian hỗ trợ từ 7h đến 22h)
Email: lienhe@tuyensinh247.com












