Ở một loài động vật, tính trạng màu sắc do 2 cặp gen không alen tương tác quy định, khi có
Ở một loài động vật, tính trạng màu sắc do 2 cặp gen không alen tương tác quy định, khi có mặt alen A trong kiểu gen luôn quy định lông xám, khi chỉ có mặt alen B quy định lông đen, alen a và b không có khả năng này nên cho lông màu trắng. Tính trạng chiều cao chân do 1 cặp gen D, d trội lặn hoàn toàn quy định. Tiến hành lai 2 cơ thể bố mẹ (P) thuần chủng tương phản các cặp gen thu được F1 toàn lông xám, chân cao. Cho F1 giao phối với cơ thể (I) lông xám, chân cao thu được đời F2 có tỉ lệ kiểu hình: 50% lông xám, chân cao; 25% lông xám, chân thấp; 12,5% lông đen, chân cao; 12,5% lông trắng, chân cao. Khi cho các con lông trắng, chân cao ở F2 giao phối tự do với nhau thu được đời con F3 chỉ có duy nhất một kiểu hình. Biết rằng không có đột biến xảy ra, sức sống các cá thể như nhau. Xét các kết luận sau:
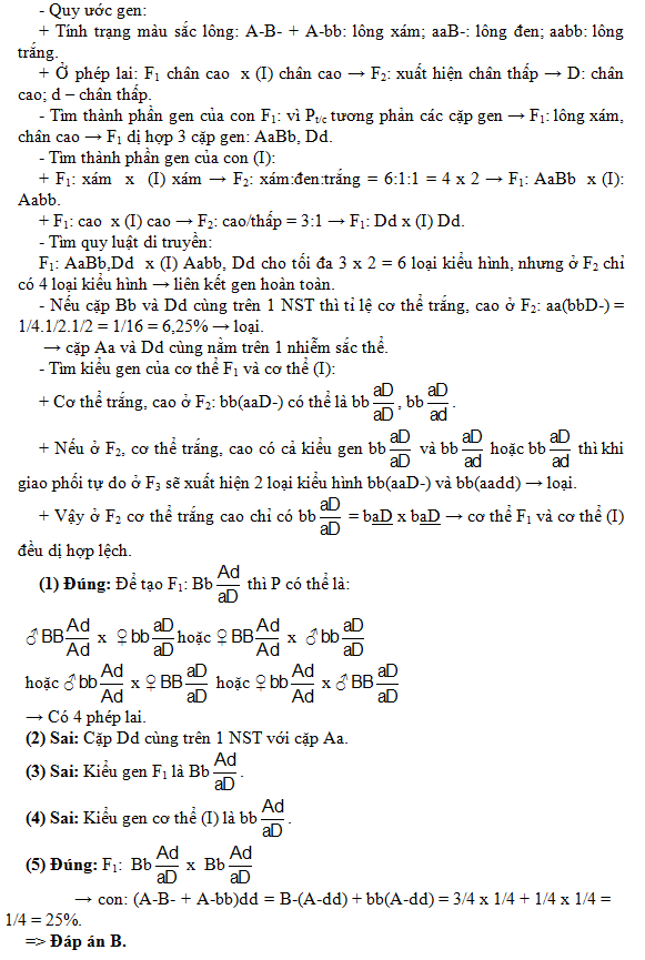
(1) Ở thế hệ (P) có thể có 4 phép lai khác nhau (có kể đến vai trò của bố mẹ).
(2) Cặp gen quy định chiều cao chân thuộc cùng một nhóm gen liên kết với cặp gen Aa hoặc Bb.
(3) Kiểu gen của F1 có thể là:
hoặc
.
(4) Kiểu gen của cơ thể (I) chỉ có thể là:
.
(5) Nếu cho F1 lai với con F1, đời con thu được kiểu hình lông xám, chân thấp chiếm 25%.
Số kết luận đúng là:
Đáp án đúng là: B
Quảng cáo
Đáp án cần chọn là: B
>> 2K9 Chú ý! Lộ Trình Sun 2027 - 1 lộ trình ôn đa kỳ thi (TN THPT, ĐGNL (Hà Nội/ Hồ Chí Minh), ĐGNL Sư Phạm, ĐGTD, ĐGNL Bộ Công an, ĐGNL Bộ Quốc phòngTD - Click xem ngay) tại Tuyensinh247.com. Cập nhật bám sát bộ SGK mới, Thầy Cô giáo giỏi, 3 bước chi tiết: Nền tảng lớp 12; Luyện thi chuyên sâu; Luyện đề đủ dạng đáp ứng mọi kì thi.
![]() |
![]() |
![]() |
![]() |
![]() |
![]() |
![]() |
![]() |
Hỗ trợ - Hướng dẫn
-
024.7300.7989
-
1800.6947
(Thời gian hỗ trợ từ 7h đến 22h)
Email: lienhe@tuyensinh247.com













