Ở một loài thực vật lưỡng bội, tình trạng màu sắc hoa do một gen nằm trên NST thường có 3
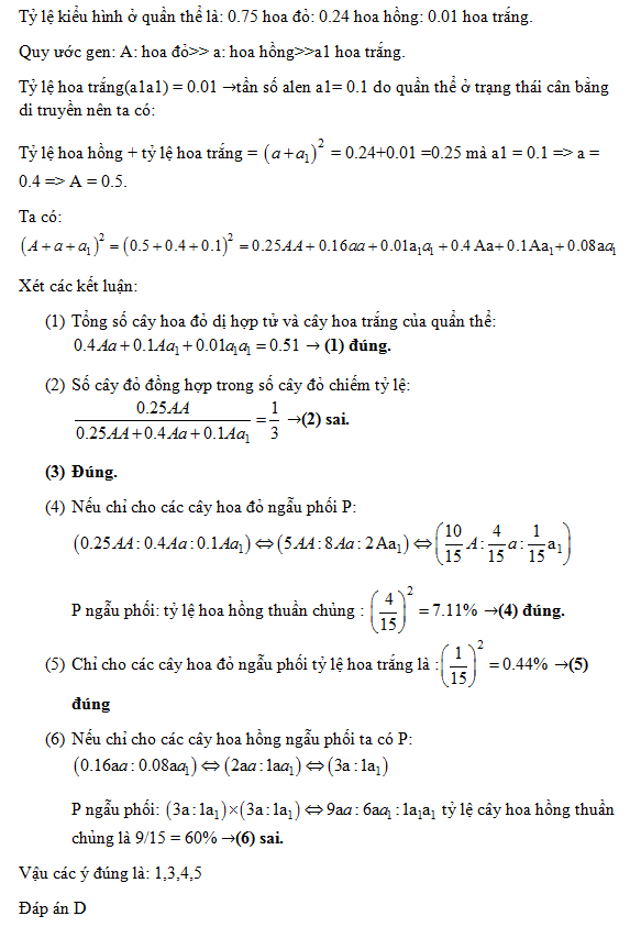
Ở một loài thực vật lưỡng bội, tình trạng màu sắc hoa do một gen nằm trên NST thường có 3 alen quy định. Alen quy định hoa đỏ trội hoàn toàn so với alen quy định hoa hồng và alen quy định hoa trắng; alen quy định hoa hồng trội hoàn toàn so với alen quy định hoa trắng. Một quần thể đang ở trạng thái cân bằng di truyền có kiểu hình gồm: 1500 cây cho hoa đỏ, 480 cây cho hoa hồng, 20 cây cho hoa trắng,. Theo lí thuyết, trong các phát biểu sau đây, có bao nhiêu phát biểu đúng?
(1). Tổng số cây hoa đỏ dị hợp tử và cây hoa trắng của quẩn thể chiếm 51%
(2). Số cây hoa đỏ có kiểu gen đồng hợp tử trong tổng số cây hoa đỏ của quần thể chiếm 25%
(3). Tần số alen quy định hoa đỏ, hoa hồng, hoa trắng lần lượt là 0.5: 0.4: 0.1
(4). Nếu chỉ cho các cây hoa đỏ của quần thể ngẫu phối thì đời con có kiểu hình hoa hồng thuần chủng chiếm 7.11%
(5). Nếu chỉ cho các cây hoa đỏ của quần thể ngẫu phối thì đời con có kiểu hình hoa trắng chiếm 0.44%
(6). Nếu chỉ cho các cây hoa hồng của quần thể ngẫu phối thì ở đời con, trong tổng số các cây hoa hồng, số cây hoa hồng thuần chủng chiếm tỉ lệ 71.43%
Đáp án đúng là: D
Quảng cáo
Đáp án cần chọn là: D
>> 2K9 Chú ý! Lộ Trình Sun 2027 - 1 lộ trình ôn đa kỳ thi (TN THPT, ĐGNL (Hà Nội/ Hồ Chí Minh), ĐGNL Sư Phạm, ĐGTD, ĐGNL Bộ Công an, ĐGNL Bộ Quốc phòngTD - Click xem ngay) tại Tuyensinh247.com. Cập nhật bám sát bộ SGK mới, Thầy Cô giáo giỏi, 3 bước chi tiết: Nền tảng lớp 12; Luyện thi chuyên sâu; Luyện đề đủ dạng đáp ứng mọi kì thi.
![]() |
![]() |
![]() |
![]() |
![]() |
![]() |
![]() |
![]() |
Hỗ trợ - Hướng dẫn
-
024.7300.7989
-
1800.6947
(Thời gian hỗ trợ từ 7h đến 22h)
Email: lienhe@tuyensinh247.com













