Hòa tan hoàn toàn 12,84g hỗn hợp gồm Fe, Al, Mg có số mol bằng nhau trong dung dịch HNO3 loãng dư,
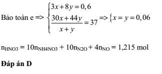
Hòa tan hoàn toàn 12,84g hỗn hợp gồm Fe, Al, Mg có số mol bằng nhau trong dung dịch HNO3 loãng dư, thu được dung dịch X chứa 75,36 gam muối và hỗn hợp khí Y gồm N2, N2O, NO và NO2. Trong đó dố mol N2 bằng số mol NO2. Biết tỉ khối của hỗn hợp khí Y so với H2 bằng 18,5. Số mol HNO3 đã phản ứng là
Đáp án đúng là: D
Quảng cáo
Đáp án cần chọn là: D
>> 2K9 Chú ý! Lộ Trình Sun 2027 - 1 lộ trình ôn đa kỳ thi (TN THPT, ĐGNL (Hà Nội/ Hồ Chí Minh), ĐGNL Sư Phạm, ĐGTD, ĐGNL Bộ Công an, ĐGNL Bộ Quốc phòngTD - Click xem ngay) tại Tuyensinh247.com. Cập nhật bám sát bộ SGK mới, Thầy Cô giáo giỏi, 3 bước chi tiết: Nền tảng lớp 12; Luyện thi chuyên sâu; Luyện đề đủ dạng đáp ứng mọi kì thi.
![]() |
![]() |
![]() |
![]() |
![]() |
![]() |
![]() |
![]() |
Hỗ trợ - Hướng dẫn
-
024.7300.7989
-
1800.6947
(Thời gian hỗ trợ từ 7h đến 22h)
Email: lienhe@tuyensinh247.com













