Hỗn hợp X gồm một ancol và một axit cacboxylic đều no đơn chức và mạch hở có cùng số nguyên
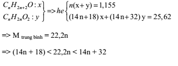
Hỗn hợp X gồm một ancol và một axit cacboxylic đều no đơn chức và mạch hở có cùng số nguyên tử cacbon trong phân tử. Đốt cháy hoàn toàn 25,62gam X thu được 28,872 lít khí CO2 (đktc). Đun nóng 25,62gam X với xúc tác H2SO4 đặc thu được m gam este (giả sử hiệu suất phản ứng este hóa bằng 60%). Giá trị của m gần nhất với giá trị nào sau đây:
Đáp án đúng là: C
Quảng cáo
Đáp án cần chọn là: C
>> 2K9 Chú ý! Lộ Trình Sun 2027 - 1 lộ trình ôn đa kỳ thi (TN THPT, ĐGNL (Hà Nội/ Hồ Chí Minh), ĐGNL Sư Phạm, ĐGTD, ĐGNL Bộ Công an, ĐGNL Bộ Quốc phòngTD - Click xem ngay) tại Tuyensinh247.com. Cập nhật bám sát bộ SGK mới, Thầy Cô giáo giỏi, 3 bước chi tiết: Nền tảng lớp 12; Luyện thi chuyên sâu; Luyện đề đủ dạng đáp ứng mọi kì thi.
![]() |
![]() |
![]() |
![]() |
![]() |
![]() |
![]() |
![]() |
Hỗ trợ - Hướng dẫn
-
024.7300.7989
-
1800.6947
(Thời gian hỗ trợ từ 7h đến 22h)
Email: lienhe@tuyensinh247.com













