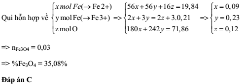
Cho 19,84 gam hỗn hợp X gồm Fe3O4 và Fe tan hết trong dung dịch HNO3. Sau khi phản ứng kết thúc thu
Cho 19,84 gam hỗn hợp X gồm Fe3O4 và Fe tan hết trong dung dịch HNO3. Sau khi phản ứng kết thúc thu được dd A và 4,704 lít khí NO(đktc) (sản phẩm khử duy nhất của N+5). Cô cạn dung dịch sau phản ứng thì thu được 71,86 gam muối khan. Phần trăm khối lượng Fe3O4 trong X gần nhất với giá trị nào sau đây:
Đáp án đúng là: C
Quảng cáo
Đáp án cần chọn là: C
>> 2K9 Chú ý! Lộ Trình Sun 2027 - 1 lộ trình ôn đa kỳ thi (TN THPT, ĐGNL (Hà Nội/ Hồ Chí Minh), ĐGNL Sư Phạm, ĐGTD, ĐGNL Bộ Công an, ĐGNL Bộ Quốc phòngTD - Click xem ngay) tại Tuyensinh247.com. Cập nhật bám sát bộ SGK mới, Thầy Cô giáo giỏi, 3 bước chi tiết: Nền tảng lớp 12; Luyện thi chuyên sâu; Luyện đề đủ dạng đáp ứng mọi kì thi.
![]() |
![]() |
![]() |
![]() |
![]() |
![]() |
![]() |
![]() |
Hỗ trợ - Hướng dẫn
-
024.7300.7989
-
1800.6947
(Thời gian hỗ trợ từ 7h đến 22h)
Email: lienhe@tuyensinh247.com













