Trong thực hành, để đo gia tốc trọng trường, một học sinh dùng một con lắc đơn có chiều
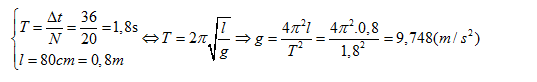
Trong thực hành, để đo gia tốc trọng trường, một học sinh dùng một con lắc đơn có chiều dài dây treo 80 cm. Khi cho con lắc dao động điều hòa, học sinh này thấy con lắc thực hiện được 20 dao động toàn phần trong thời gian 36 s. Theo kết quả thí nghiệm trên, gia tốc trọng trường tại nơi học sinh làm thí nghiệm bằng
Đáp án đúng là: A
Quảng cáo
Đáp án cần chọn là: A
>> 2K9 Chú ý! Lộ Trình Sun 2027 - 1 lộ trình ôn đa kỳ thi (TN THPT, ĐGNL (Hà Nội/ Hồ Chí Minh), ĐGNL Sư Phạm, ĐGTD, ĐGNL Bộ Công an, ĐGNL Bộ Quốc phòngTD - Click xem ngay) tại Tuyensinh247.com. Cập nhật bám sát bộ SGK mới, Thầy Cô giáo giỏi, 3 bước chi tiết: Nền tảng lớp 12; Luyện thi chuyên sâu; Luyện đề đủ dạng đáp ứng mọi kì thi.
![]() |
![]() |
![]() |
![]() |
![]() |
![]() |
![]() |
![]() |
Hỗ trợ - Hướng dẫn
-
024.7300.7989
-
1800.6947
(Thời gian hỗ trợ từ 7h đến 22h)
Email: lienhe@tuyensinh247.com













