Điện năng ở một trạm phát điện được truyền đi dưới điện áp (ở đầu đường dây
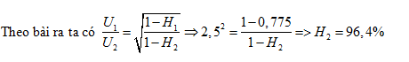
Điện năng ở một trạm phát điện được truyền đi dưới điện áp (ở đầu đường dây tải) là 20kV, hiệu suất của quá trình truyền tải điện là H=77,5%. Công suất điện truyền không đổi. Khi tăng điện áp ở đầu đường dây tải điện lên 50kV thì hiệu suất của quá trình truyền tải đạt giá trị
Đáp án đúng là: A
Quảng cáo
Đáp án cần chọn là: A
>> 2K9 Chú ý! Lộ Trình Sun 2027 - 1 lộ trình ôn đa kỳ thi (TN THPT, ĐGNL (Hà Nội/ Hồ Chí Minh), ĐGNL Sư Phạm, ĐGTD, ĐGNL Bộ Công an, ĐGNL Bộ Quốc phòngTD - Click xem ngay) tại Tuyensinh247.com. Cập nhật bám sát bộ SGK mới, Thầy Cô giáo giỏi, 3 bước chi tiết: Nền tảng lớp 12; Luyện thi chuyên sâu; Luyện đề đủ dạng đáp ứng mọi kì thi.
![]() |
![]() |
![]() |
![]() |
![]() |
![]() |
![]() |
![]() |
Hỗ trợ - Hướng dẫn
-
024.7300.7989
-
1800.6947
(Thời gian hỗ trợ từ 7h đến 22h)
Email: lienhe@tuyensinh247.com













