Một con lắc lò xo gồm viên bi nhỏ và lò xo nhẹ có độ cứng 100 N/m, dao động điều hòa với
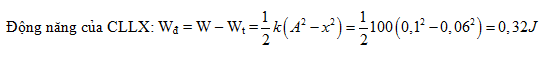
Một con lắc lò xo gồm viên bi nhỏ và lò xo nhẹ có độ cứng 100 N/m, dao động điều hòa với biên độ 0,1 m. Mốc thế năng ở vị trí cân bằng. Khi viên bi cách vị trí cân bằng 6 cm thì động năng của con lắc bằng
Đáp án đúng là: D
Quảng cáo
Đáp án cần chọn là: D
>> 2K9 Chú ý! Lộ Trình Sun 2027 - 1 lộ trình ôn đa kỳ thi (TN THPT, ĐGNL (Hà Nội/ Hồ Chí Minh), ĐGNL Sư Phạm, ĐGTD, ĐGNL Bộ Công an, ĐGNL Bộ Quốc phòngTD - Click xem ngay) tại Tuyensinh247.com. Cập nhật bám sát bộ SGK mới, Thầy Cô giáo giỏi, 3 bước chi tiết: Nền tảng lớp 12; Luyện thi chuyên sâu; Luyện đề đủ dạng đáp ứng mọi kì thi.
![]() |
![]() |
![]() |
![]() |
![]() |
![]() |
![]() |
![]() |
Hỗ trợ - Hướng dẫn
-
024.7300.7989
-
1800.6947
(Thời gian hỗ trợ từ 7h đến 22h)
Email: lienhe@tuyensinh247.com













