Ở hoa mõm chó, tính trạng màu sắc hoa do một cặp gen qui định. Cho cây hoa hồng (P) tự thụ thu
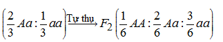
Ở hoa mõm chó, tính trạng màu sắc hoa do một cặp gen qui định. Cho cây hoa hồng (P) tự thụ thu được F1 có tỉ lệ phân li kiểu hình là: 1 hoa đỏ: 2 hoa hồng: 1 hoa trắng. Cho các cây hoa hồng và các cây hoa trắng ở F1 tự thụ phấn thu được các hạt F2. Lấy ngẫu nhiên 4 hạt ở F2 đem gieo, xác suất để trong 4 cây con có đúng 1 cây hoa đỏ, 2 cây hoa hồng và 1 cây hoa trắng là:
Đáp án đúng là: B
Quảng cáo
Đáp án cần chọn là: B
>> 2K9 Chú ý! Lộ Trình Sun 2027 - 1 lộ trình ôn đa kỳ thi (TN THPT, ĐGNL (Hà Nội/ Hồ Chí Minh), ĐGNL Sư Phạm, ĐGTD, ĐGNL Bộ Công an, ĐGNL Bộ Quốc phòngTD - Click xem ngay) tại Tuyensinh247.com. Cập nhật bám sát bộ SGK mới, Thầy Cô giáo giỏi, 3 bước chi tiết: Nền tảng lớp 12; Luyện thi chuyên sâu; Luyện đề đủ dạng đáp ứng mọi kì thi.
![]() |
![]() |
![]() |
![]() |
![]() |
![]() |
![]() |
![]() |
Hỗ trợ - Hướng dẫn
-
024.7300.7989
-
1800.6947
(Thời gian hỗ trợ từ 7h đến 22h)
Email: lienhe@tuyensinh247.com



= 1/9 = 11,11%.










