Đáp án đúng là: A
Quảng cáo
Gọi \(\left( {{x_0};\;{y_0}} \right)\) là một điểm thuộc đồ thị hàm số \( \left( C \right).\)
Khi đó phương trình tiếp tuyến của đồ thị hàm số \((C)\) tại \(\left( {{x_0};\;{y_0}} \right) \in \left( C \right)\) là: \(\Delta: \, \, y=f’(x_0)(x-x_0)+y_0.\)
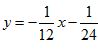
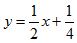
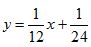
Xác định các đường tiệm cận của đồ thị hàm số sau đó suy ra tọa độ giao điểm của các đường tiệm cận với trục \(Ox.\)
Đường thẳng \(\Delta \) đi qua giao điểm đó nên thay tọa độ giao điểm đó vào phương trình đường thẳng \(\Delta \) tìm được \(x_0.\) Từ đó suy ra phương trình tiếp tuyến cần lập.
Đáp án cần chọn là: A
>> 2K9 Chú ý! Lộ Trình Sun 2027 - 1 lộ trình ôn đa kỳ thi (TN THPT, ĐGNL (Hà Nội/ Hồ Chí Minh), ĐGNL Sư Phạm, ĐGTD, ĐGNL Bộ Công an, ĐGNL Bộ Quốc phòngTD - Click xem ngay) tại Tuyensinh247.com. Cập nhật bám sát bộ SGK mới, Thầy Cô giáo giỏi, 3 bước chi tiết: Nền tảng lớp 12; Luyện thi chuyên sâu; Luyện đề đủ dạng đáp ứng mọi kì thi.
![]() |
![]() |
![]() |
![]() |
![]() |
![]() |
![]() |
![]() |
Hỗ trợ - Hướng dẫn
-
024.7300.7989
-
1800.6947
(Thời gian hỗ trợ từ 7h đến 22h)
Email: lienhe@tuyensinh247.com












