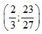
Đáp án đúng là: D
Quảng cáo
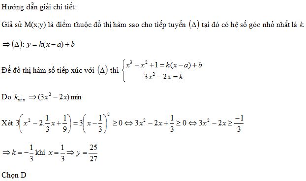
Gọi \(M\left( {{x_0};\;{y_0}} \right)\) là một điểm thuộc đồ thị hàm số \( \left( C \right).\)
Khi đó hệ số góc của tiếp tuyến của đồ thị hàm số \((C)\) tại \(M\) là \(k=f'(x_0).\)
\(\Rightarrow k \, \, Min \Leftrightarrow f'(x_0) \, \, Min.\)
Đáp án cần chọn là: D
>> 2K9 Chú ý! Lộ Trình Sun 2027 - 1 lộ trình ôn đa kỳ thi (TN THPT, ĐGNL (Hà Nội/ Hồ Chí Minh), ĐGNL Sư Phạm, ĐGTD, ĐGNL Bộ Công an, ĐGNL Bộ Quốc phòngTD - Click xem ngay) tại Tuyensinh247.com. Cập nhật bám sát bộ SGK mới, Thầy Cô giáo giỏi, 3 bước chi tiết: Nền tảng lớp 12; Luyện thi chuyên sâu; Luyện đề đủ dạng đáp ứng mọi kì thi.
![]() |
![]() |
![]() |
![]() |
![]() |
![]() |
![]() |
![]() |
Hỗ trợ - Hướng dẫn
-
024.7300.7989
-
1800.6947
(Thời gian hỗ trợ từ 7h đến 22h)
Email: lienhe@tuyensinh247.com












