Đáp án đúng là: D
Quảng cáo
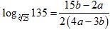
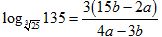
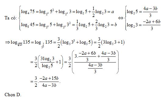
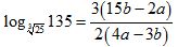
+) Sử dụng các công thức của hàm số logarit để biến đổi biểu thức \(\log_4 75\) và \( \log_8 45\) theo biểu thức \(\log_2 5\) và \( \log_2 3.\)
+) Từ đó biểu diễn các biểu thức \(\log_2 5\) và \( \log_2 3\) theo \(a\) và \(b.\)
+) Sử dụng các công thức của hàm số logarit để biến đổi biểu thức \({\log _{\sqrt[3]{{25}}}}135\) theo biểu thức \(\log_2 5\) và \( \log_2 3.\)
+) Thay các biểu thức của \(a, \, \, b\) vào biểu thức vừa tính để chọn đáp án đúng.
Đáp án cần chọn là: D
>> 2K9 Chú ý! Lộ Trình Sun 2027 - 1 lộ trình ôn đa kỳ thi (TN THPT, ĐGNL (Hà Nội/ Hồ Chí Minh), ĐGNL Sư Phạm, ĐGTD, ĐGNL Bộ Công an, ĐGNL Bộ Quốc phòngTD - Click xem ngay) tại Tuyensinh247.com. Cập nhật bám sát bộ SGK mới, Thầy Cô giáo giỏi, 3 bước chi tiết: Nền tảng lớp 12; Luyện thi chuyên sâu; Luyện đề đủ dạng đáp ứng mọi kì thi.
![]() |
![]() |
![]() |
![]() |
![]() |
![]() |
![]() |
![]() |
Hỗ trợ - Hướng dẫn
-
024.7300.7989
-
1800.6947
(Thời gian hỗ trợ từ 7h đến 22h)
Email: lienhe@tuyensinh247.com












