Cho một mạch điện kín gồm nguồn điện có suất điện động E = 12 (V), điện trở trong r = 2,5
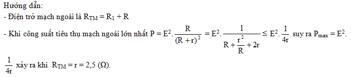
Cho một mạch điện kín gồm nguồn điện có suất điện động E = 12 (V), điện trở trong r = 2,5 (Ω), mạch ngoài gồm điện trở R1 = 0,5 (Ω) mắc nối tiếp với một điện trở R. Để công suất tiêu thụ ở mạch ngoài lớn nhất thì điện trở R phải có giá trị
Đáp án đúng là: B
Quảng cáo
Đáp án cần chọn là: B
>> 2K9 Học trực tuyến - Định hướng luyện thi TN THPT, ĐGNL, ĐGTD ngay từ lớp 11 (Xem ngay) cùng thầy cô giáo giỏi trên Tuyensinh247.com. Bứt phá điểm 9,10 chỉ sau 3 tháng, tiếp cận sớm các kì thi.
![]() |
![]() |
![]() |
![]() |
![]() |
![]() |
![]() |
![]() |
Hỗ trợ - Hướng dẫn
-
024.7300.7989
-
1800.6947
(Thời gian hỗ trợ từ 7h đến 22h)
Email: lienhe@tuyensinh247.com












