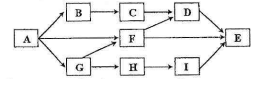
Giả sử lưới thức ăn sau đây gồm các loài sinh vật được kí hiệu: A, B, C, D, E, F, G, H, I. Cho
Giả sử lưới thức ăn sau đây gồm các loài sinh vật được kí hiệu: A, B, C, D, E, F, G, H, I. Cho biết loài A là sinh vật sản xuất và loài E là sinh vật tiêu thụ bậc cao nhất, có bao nhiêu phát biểu sau đây đúng?

I. Chuỗi thức ăn ngắn nhất có 3 bậc dinh dưỡng.
II. Loài D tham gia vào 3 chuỗi thức ăn.
III. Loài F tham gia vào 5 chuỗi thức ăn.
IV. Loài C chỉ tham gia vào một chuỗi thức ăn.
Đáp án đúng là: C
Quảng cáo
Đáp án cần chọn là: C
>> 2K8 Chú ý! Lộ Trình Sun 2026 - 3IN1 - 1 lộ trình ôn 3 kì thi (Luyện thi 26+ TN THPT, 90+ ĐGNL HN, 900+ ĐGNL HCM, 70+ ĐGTD - Click xem ngay) tại Tuyensinh247.com.Đầy đủ theo 3 đầu sách, Thầy Cô giáo giỏi, luyện thi theo 3 giai đoạn: Nền tảng lớp 12, Luyện thi chuyên sâu, Luyện đề đủ dạng đáp ứng mọi kì thi.
![]() |
![]() |
![]() |
![]() |
![]() |
![]() |
![]() |
![]() |
Hỗ trợ - Hướng dẫn
-
024.7300.7989
-
1800.6947
(Thời gian hỗ trợ từ 7h đến 22h)
Email: lienhe@tuyensinh247.com












