Đặt điện áp \(u = 80\sqrt 2 \cos (100\pi t - \frac{\pi }{4})(V)\) vào hai đầu đoạn mạch mắc nối
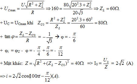
Đặt điện áp \(u = 80\sqrt 2 \cos (100\pi t - \frac{\pi }{4})(V)\) vào hai đầu đoạn mạch mắc nối tiếp gồm điện trở \(20\sqrt 3 \Omega \), cuộn thuần cảm và tụ điện có điện dung C thay đổi được Điều chỉnh điện dung đến giá trị C = C0 để điện áp dụng giữa hai đầu tụ điện đạt giá trị cực đại và bằng 160 V. Giữ nguyên giá trị C = C0 biểu thức cường độ dòng điện trong mạch đạt giá trị là
Đáp án đúng là: C
Quảng cáo
Đáp án cần chọn là: C
>> 2K9 Chú ý! Lộ Trình Sun 2027 - 1 lộ trình ôn đa kỳ thi (TN THPT, ĐGNL (Hà Nội/ Hồ Chí Minh), ĐGNL Sư Phạm, ĐGTD, ĐGNL Bộ Công an, ĐGNL Bộ Quốc phòngTD - Click xem ngay) tại Tuyensinh247.com. Cập nhật bám sát bộ SGK mới, Thầy Cô giáo giỏi, 3 bước chi tiết: Nền tảng lớp 12; Luyện thi chuyên sâu; Luyện đề đủ dạng đáp ứng mọi kì thi.
![]() |
![]() |
![]() |
![]() |
![]() |
![]() |
![]() |
![]() |
Hỗ trợ - Hướng dẫn
-
024.7300.7989
-
1800.6947
(Thời gian hỗ trợ từ 7h đến 22h)
Email: lienhe@tuyensinh247.com












