Đặt điện áp xoay chiều vào hai đầu đoạn mạch gồm điện trở R, cuộn cảm thuần và tụ
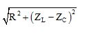
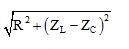
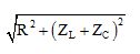
Đặt điện áp xoay chiều vào hai đầu đoạn mạch gồm điện trở R, cuộn cảm thuần và tụ điện mắc nối tiếp. Biết cuộn cảm có cảm kháng ZL và tụ điện có dung kháng Zc. Tổng trờ của đoạn mạch là:
Đáp án đúng là: B
Quảng cáo
Đáp án cần chọn là: B
>> 2K9 Chú ý! Lộ Trình Sun 2027 - 1 lộ trình ôn đa kỳ thi (TN THPT, ĐGNL (Hà Nội/ Hồ Chí Minh), ĐGNL Sư Phạm, ĐGTD, ĐGNL Bộ Công an, ĐGNL Bộ Quốc phòngTD - Click xem ngay) tại Tuyensinh247.com. Cập nhật bám sát bộ SGK mới, Thầy Cô giáo giỏi, 3 bước chi tiết: Nền tảng lớp 12; Luyện thi chuyên sâu; Luyện đề đủ dạng đáp ứng mọi kì thi.
![]() |
![]() |
![]() |
![]() |
![]() |
![]() |
![]() |
![]() |
Hỗ trợ - Hướng dẫn
-
024.7300.7989
-
1800.6947
(Thời gian hỗ trợ từ 7h đến 22h)
Email: lienhe@tuyensinh247.com












