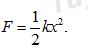
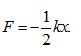
Một con lắc lò xo gồm vật nhỏ và lò xo nhẹ có độ cứng k, dao động điều hòa dọc theo
Một con lắc lò xo gồm vật nhỏ và lò xo nhẹ có độ cứng k, dao động điều hòa dọc theo trục Ox quanh vị trí cân bằng O. Biểu thức lực kéo về tác dụng lên vật theo li độ x là
A. B.
C. D.
Đáp án đúng là: B
Quảng cáo
Đáp án cần chọn là: B
>> 2K8 Chú ý! Lộ Trình Sun 2026 - 3IN1 - 1 lộ trình ôn 3 kì thi (Luyện thi 26+ TN THPT, 90+ ĐGNL HN, 900+ ĐGNL HCM, 70+ ĐGTD - Click xem ngay) tại Tuyensinh247.com.Đầy đủ theo 3 đầu sách, Thầy Cô giáo giỏi, luyện thi theo 3 giai đoạn: Nền tảng lớp 12, Luyện thi chuyên sâu, Luyện đề đủ dạng đáp ứng mọi kì thi.
![]() |
![]() |
![]() |
![]() |
![]() |
![]() |
![]() |
![]() |
Hỗ trợ - Hướng dẫn
-
024.7300.7989
-
1800.6947
(Thời gian hỗ trợ từ 7h đến 22h)
Email: lienhe@tuyensinh247.com












