Một khung dây dẫn đặt vuông góc với một từ trường đều, cảm ứng từ B có độ lớn biến
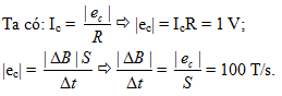
Một khung dây dẫn đặt vuông góc với một từ trường đều, cảm ứng từ B có độ lớn biến đổi theo thời gian. Tính suất điện động cảm ứng và tốc độ biến thiên của cảm ứng từ, biết rằng cường độ dòng điện cảm ứng là IC = 0,5 A, điện trở của khung là R = 2
và diện tích của khung là S = 100 cm2.
Quảng cáo
>> 2K9 Chú ý! Lộ Trình Sun 2027 - 1 lộ trình ôn đa kỳ thi (TN THPT, ĐGNL (Hà Nội/ Hồ Chí Minh), ĐGNL Sư Phạm, ĐGTD, ĐGNL Bộ Công an, ĐGNL Bộ Quốc phòngTD - Click xem ngay) tại Tuyensinh247.com. Cập nhật bám sát bộ SGK mới, Thầy Cô giáo giỏi, 3 bước chi tiết: Nền tảng lớp 12; Luyện thi chuyên sâu; Luyện đề đủ dạng đáp ứng mọi kì thi.
![]() |
![]() |
![]() |
![]() |
![]() |
![]() |
![]() |
![]() |
Hỗ trợ - Hướng dẫn
-
024.7300.7989
-
1800.6947
(Thời gian hỗ trợ từ 7h đến 22h)
Email: lienhe@tuyensinh247.com












