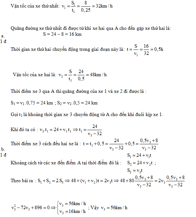
Có hai xe ô tô chuyển động đều, cùng chiều trên một con đường thẳng. Một người đứng cố
Có hai xe ô tô chuyển động đều, cùng chiều trên một con đường thẳng. Một người đứng cố định tại vị trí A bên đường thấy rằng: lúc 8 giờ xe thứ nhất qua A; lúc 8 giờ 15 phút xe thứ hai qua A còn xe thứ nhất đi qua cột mốc cách A một đoạn 8km. Xe thứ hai đuổi kịp xe thứ nhất tại vị trí cách A một đoạn 24km.
a. Tính vận tốc chuyển động của mỗi xe và thời điểm xe thứ hai đuổi kịp xe thứ nhất.
b. Vào lúc 8 giờ 45 phút có xe thứ ba qua A đuổi theo hai xe nói trên. Sau khi đuổi kịp xe thứ nhất, xe thứ ba đi thêm 30 phút nữa thì sẽ ở vị trí cách đều xe thứ nhất và xe thứ hai. Coi chuyển của xe là đều, tìm vận tốc của xe thứ ba? Các thời điểm trên là trong cùng một ngày
Quảng cáo
>> Học trực tuyến lớp 9 và Lộ trình UP10 trên Tuyensinh247.com Đầy đủ khoá học các bộ sách: Kết nối tri thức với cuộc sống; Chân trời sáng tạo; Cánh diều. Lộ trình học tập 3 giai đoạn: Học nền tảng lớp 9, Ôn thi vào lớp 10, Luyện Đề. Bứt phá điểm lớp 9, thi vào lớp 10 kết quả cao. Hoàn trả học phí nếu học không hiệu quả. PH/HS tham khảo chi tiết khoá học tại: Link
![]() |
![]() |
![]() |
![]() |
![]() |
![]() |
Hỗ trợ - Hướng dẫn
-
024.7300.7989
-
1800.6947
(Thời gian hỗ trợ từ 7h đến 22h)
Email: lienhe@tuyensinh247.com










