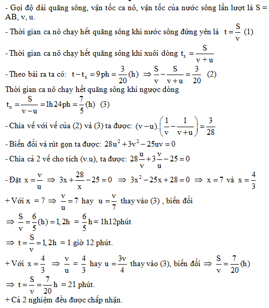
Một chiếc ca nô chuyển động trên quãng sông thẳng nhất định AB, người lái ca nô nhận thấy:
Một chiếc ca nô chuyển động trên quãng sông thẳng nhất định AB, người lái ca nô nhận thấy: Để đi hết quãng sông, những hôm nước sông chảy thì thời gian ca nô khi xuôi dòng từ A đến B ít hơn thời gian những hôm nước sông đứng yên là 9 phút, còn khi ngược dòng từ B về A hết khoảng thời gian là 1 giờ 24 phút.
Tính thời gian ca nô chuyển động từ A đến B những hôm nước sông yên lặng. Coi tốc độ dòng nước những hôm nước sông chảy đối với bờ là không đổi và công suất ca nô luôn luôn ổn định.
Quảng cáo
>> Học trực tuyến lớp 9 và Lộ trình UP10 trên Tuyensinh247.com Đầy đủ khoá học các bộ sách: Kết nối tri thức với cuộc sống; Chân trời sáng tạo; Cánh diều. Lộ trình học tập 3 giai đoạn: Học nền tảng lớp 9, Ôn thi vào lớp 10, Luyện Đề. Bứt phá điểm lớp 9, thi vào lớp 10 kết quả cao. Hoàn trả học phí nếu học không hiệu quả. PH/HS tham khảo chi tiết khoá học tại: Link
![]() |
![]() |
![]() |
![]() |
![]() |
![]() |
Hỗ trợ - Hướng dẫn
-
024.7300.7989
-
1800.6947
(Thời gian hỗ trợ từ 7h đến 22h)
Email: lienhe@tuyensinh247.com










