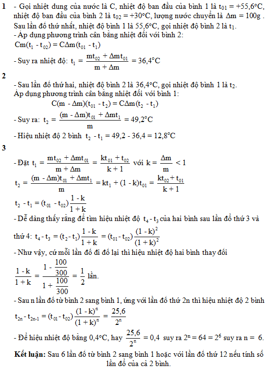
Cho hai bình cách nhiệt hoàn toàn với môi trường ngoài. Người ta đổ vào mỗi bình 300g nước,
Cho hai bình cách nhiệt hoàn toàn với môi trường ngoài. Người ta đổ vào mỗi bình 300g nước, bình 1 nước có nhiệt độ +55,6oC và bình 2 nước có nhiệt độ +30oC. Bỏ qua sự mất nhiệt khi đổ, khi khuấy và nhiệt dung của 2 bình.
1. Lấy ra 100g nước từ bình 1 đổ sang bình 2 rồi khuấy đều. Tính nhiệt độ của nước ở bình 2 khi cân bằng nhiệt.
2. Từ bình 2 (khi đã cân bằng nhiệt) lấy ra 100g nước đổ sang bình 1 rồi khuấy đều. Tính nhiệt độ của nước ở bình 1 khi cân bằng nhiệt và hiệu nhiệt độ giữa 2 bình khi đó.
3. Cứ đổ đi đổ lại như thế với cùng 100g nước lấy ra. Tìm số lần đổ từ bình 2 sang bình 1 để hiệu nhiệt độ của nước trong hai bình khi cân bằng nhiệt là 0,4oC.
Quảng cáo
>> Học trực tuyến lớp 9 và Lộ trình UP10 trên Tuyensinh247.com Đầy đủ khoá học các bộ sách: Kết nối tri thức với cuộc sống; Chân trời sáng tạo; Cánh diều. Lộ trình học tập 3 giai đoạn: Học nền tảng lớp 9, Ôn thi vào lớp 10, Luyện Đề. Bứt phá điểm lớp 9, thi vào lớp 10 kết quả cao. Hoàn trả học phí nếu học không hiệu quả. PH/HS tham khảo chi tiết khoá học tại: Link
![]() |
![]() |
![]() |
![]() |
![]() |
![]() |
Hỗ trợ - Hướng dẫn
-
024.7300.7989
-
1800.6947
(Thời gian hỗ trợ từ 7h đến 22h)
Email: lienhe@tuyensinh247.com










