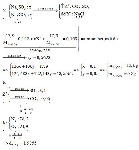
1. Cho 17,9 gam hỗn hợp X’ gồm Na2SO3 và Na2CO3 vào 140,7 gam dung dịch HCl 14,6% thu được dung dịch
1. Cho 17,9 gam hỗn hợp X’ gồm Na2SO3 và Na2CO3 vào 140,7 gam dung dịch HCl 14,6%
thu được dung dịch Y’ có nồng độ muối clorua là 11,7% và hỗn hợp khí Z’.
a. Tính khối lượng mỗi chất có trong hỗn hợp X’. (Xem như các phản ứng xảy ra hoàn toàn)
b. Tính tỉ khối hơi của hỗn hợp khí Z’ so với không khí (giả thiết không khí gồm khí N2
chiếm 78,1% về thể tích và còn lại là khí O2).
2. Trộn V1 lít dung dịch HCl 0,6M với V2 lít dung dịch NaOH 0,4M thu được 0,6 lít dung dịch A. Biết 0,6 lít dung dịch A có thể hòa tan hết 1,02 gam Al2O3 (xem như sự pha trộn không làm thay đổi thể tích). Tính V1 và V2.
Quảng cáo
>> Học trực tuyến lớp 9 và Lộ trình UP10 trên Tuyensinh247.com Đầy đủ khoá học các bộ sách: Kết nối tri thức với cuộc sống; Chân trời sáng tạo; Cánh diều. Lộ trình học tập 3 giai đoạn: Học nền tảng lớp 9, Ôn thi vào lớp 10, Luyện Đề. Bứt phá điểm lớp 9, thi vào lớp 10 kết quả cao. Hoàn trả học phí nếu học không hiệu quả. PH/HS tham khảo chi tiết khoá học tại: Link
![]() |
![]() |
![]() |
![]() |
![]() |
![]() |
Hỗ trợ - Hướng dẫn
-
024.7300.7989
-
1800.6947
(Thời gian hỗ trợ từ 7h đến 22h)
Email: lienhe@tuyensinh247.com











