Giả sử lưới thức ăn trong một hệ sinh thái gồm các loài sinh vật G, H, I, K, L, M, N, O, P
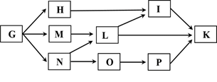
Giả sử lưới thức ăn trong một hệ sinh thái gồm các loài sinh vật G, H, I, K, L, M, N, O, P được mô tả bằng sơ đồ ở hình bên. Cho biết loài G là sinh vật
sản xuất và các loài còn lại đều là sinh vật tiêu thụ. Phân tích lưới thức ăn này, có bao nhiêu phát biểu sau đây đúng?
I. Loài H thuộc bậc dinh dưỡng cấp 2.
II. Loài L tham gia vào 4 chuỗi thức ăn khác nhau.
III. Loài I có thể là sinh vật tiêu thụ bậc 3 hoặc bậc 4.
IV. Loài P thuộc nhiều bậc dinh dưỡng khác nhau.
Đáp án đúng là: B
Quảng cáo
Đáp án cần chọn là: B
>> 2K9 Chú ý! Lộ Trình Sun 2027 - 1 lộ trình ôn đa kỳ thi (TN THPT, ĐGNL (Hà Nội/ Hồ Chí Minh), ĐGNL Sư Phạm, ĐGTD, ĐGNL Bộ Công an, ĐGNL Bộ Quốc phòngTD - Click xem ngay) tại Tuyensinh247.com. Cập nhật bám sát bộ SGK mới, Thầy Cô giáo giỏi, 3 bước chi tiết: Nền tảng lớp 12; Luyện thi chuyên sâu; Luyện đề đủ dạng đáp ứng mọi kì thi.
![]() |
![]() |
![]() |
![]() |
![]() |
![]() |
![]() |
![]() |
Hỗ trợ - Hướng dẫn
-
024.7300.7989
-
1800.6947
(Thời gian hỗ trợ từ 7h đến 22h)
Email: lienhe@tuyensinh247.com












