Cho mạch điện xoay chiều RLC mắc nối tiếp gồm điện trở thuần R, cuộn cảm thuần L
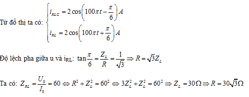
Cho mạch điện xoay chiều RLC mắc nối tiếp gồm điện trở thuần R, cuộn cảm thuần L và tụ điện C. Đặt vào hai đầu mạch một điện áp xoay chiều u = 120cos100πt (V). Ban đầu đồ thị cường độ dòng điện là đường nét đứt trên hình vẽ. Sau khi nối tắt tụ điện thì đồ thị cường độ dòng điện là đường nét liền trên hình vẽ. Giá trị của R trong mạch là

Đáp án đúng là: C
Quảng cáo
Phương pháp: Sử dụng công thức tính tống trở Z, độ lệch pha tanφ kết hợp kĩ năng đọc đồ thị
Đáp án cần chọn là: C
>> 2K9 Chú ý! Lộ Trình Sun 2027 - 1 lộ trình ôn đa kỳ thi (TN THPT, ĐGNL (Hà Nội/ Hồ Chí Minh), ĐGNL Sư Phạm, ĐGTD, ĐGNL Bộ Công an, ĐGNL Bộ Quốc phòngTD - Click xem ngay) tại Tuyensinh247.com. Cập nhật bám sát bộ SGK mới, Thầy Cô giáo giỏi, 3 bước chi tiết: Nền tảng lớp 12; Luyện thi chuyên sâu; Luyện đề đủ dạng đáp ứng mọi kì thi.
![]() |
![]() |
![]() |
![]() |
![]() |
![]() |
![]() |
![]() |
Hỗ trợ - Hướng dẫn
-
024.7300.7989
-
1800.6947
(Thời gian hỗ trợ từ 7h đến 22h)
Email: lienhe@tuyensinh247.com













