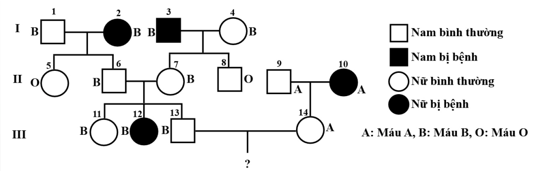
Cho sơ đồ phả hệ mô tả sự di truyền nhóm máu hệ ABO và một bệnh Z ở người. Biết rằng,
Cho sơ đồ phả hệ mô tả sự di truyền nhóm máu hệ ABO và một bệnh Z ở người. Biết rằng, bệnh Z là do một trong 2 alen có quan hệ trội lặn hoàn toàn của một gen quy định; gen quy định nhóm máu gồm 3 alen IA, IB, IO; trong đó alen IA quy định nhóm máu A, alen IB quy định nhóm máu B đều trội hoàn toàn so với alen IO quy định nhóm máu O và quần thể này đang ở trạng thái cân bằng di truyền về tính trạng nhóm máu với 4% số người có nhóm máu O và 21% số người có nhóm máu B. Các cặp gen này nằm trên các cặp nhiễm sắc thể khác nhau.

Có bao nhiêu phát biểu sau đây là đúng?
(1) Có 5 người chưa xác định được kiểu gen về tính trạng bệnh Z.
(2) Tối đa 10 người có thể mang kiểu gen đồng hợp về nhóm máu.
(3) Tỉ lệ để người III14 mang kiểu gen dị hợp trong nhóm máu A là 34,57%.
(4) Xác suất để cặp vợ chồng III13 và III14 sinh một đứa con đầu có nhóm máu AB là 287/ 360.
Đáp án đúng là: B
Quảng cáo
Đáp án cần chọn là: B
>> 2K9 Chú ý! Lộ Trình Sun 2027 - 1 lộ trình ôn đa kỳ thi (TN THPT, ĐGNL (Hà Nội/ Hồ Chí Minh), ĐGNL Sư Phạm, ĐGTD, ĐGNL Bộ Công an, ĐGNL Bộ Quốc phòngTD - Click xem ngay) tại Tuyensinh247.com. Cập nhật bám sát bộ SGK mới, Thầy Cô giáo giỏi, 3 bước chi tiết: Nền tảng lớp 12; Luyện thi chuyên sâu; Luyện đề đủ dạng đáp ứng mọi kì thi.
![]() |
![]() |
![]() |
![]() |
![]() |
![]() |
![]() |
![]() |
Hỗ trợ - Hướng dẫn
-
024.7300.7989
-
1800.6947
(Thời gian hỗ trợ từ 7h đến 22h)
Email: lienhe@tuyensinh247.com












