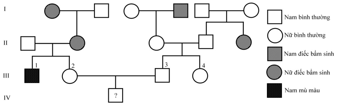
Cho sơ đồ phả hệ và một số phát biểu về phả hệ này như sau: I. Cả hai tính trạng trên
Cho sơ đồ phả hệ và một số phát biểu về phả hệ này như sau:
I. Cả hai tính trạng trên đều do gen lặn trên NST giới tính qui định.
II. Có tối đa 10 người có kiểu gen đồng hợp về tính trạng bệnh điếc.
III. Có 10 người đã xác định được kiểu gen về tính trạng bệnh điếc.
IV. Cặp vợ chồng III2 và III3 sinh ra một đứa con trai, xác suất để đứa con này chỉ mang một bệnh là 37,5%.
V. Xác suất để cặp vợ chồng này sinh thêm một đứa con gái bình thường và không mang alen gây bệnh là 13,125%.
Số phát biểu đúng là:
Đáp án đúng là: C
Quảng cáo
Đáp án cần chọn là: C
>> 2K8 Chú ý! Lộ Trình Sun 2026 - 3IN1 - 1 lộ trình ôn 3 kì thi (Luyện thi 26+ TN THPT, 90+ ĐGNL HN, 900+ ĐGNL HCM, 70+ ĐGTD - Click xem ngay) tại Tuyensinh247.com.Đầy đủ theo 3 đầu sách, Thầy Cô giáo giỏi, luyện thi theo 3 giai đoạn: Nền tảng lớp 12, Luyện thi chuyên sâu, Luyện đề đủ dạng đáp ứng mọi kì thi.
![]() |
![]() |
![]() |
![]() |
![]() |
![]() |
![]() |
![]() |
Hỗ trợ - Hướng dẫn
-
024.7300.7989
-
1800.6947
(Thời gian hỗ trợ từ 7h đến 22h)
Email: lienhe@tuyensinh247.com












