Cho X, Y, Z là ba peptit mạch hở (có số nguyên tử cacbon trong phân tử tương ứng là 5, 7, 11); T à
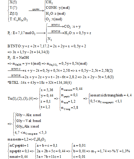
Cho X, Y, Z là ba peptit mạch hở (có số nguyên tử cacbon trong phân tử tương ứng là 5, 7, 11); T à este no, đơn chức, mạch hở. Chia 268,32 gam hỗn hợp E gồm X, Y, Z, T thành hai phần bằng nhau. Đốt cháy hoàn toàn phần một cần vừa đủ 7,17 mol O2. Thủy phân hoàn toàn phần hai bằng dung dịch NaOH vừa đủ, thu được ancol etylic và hỗn hợp G (gồm bốn muối của Gly, Ala, Val và axit cacboxylic). Đốt cháy hoàn toàn G thu được Na2CO3, N2; 2,58 mol CO2 và 2,8 mol H2O. Phần trăm khối lượng của Y trong E là
Đáp án đúng là: A
Quảng cáo
Quy đổi hỗn hợp E thành CH2, CONH, H2O, O2
Bảo toàn nguyên tố C, H , O
Bảo toàn khối lượng
Đáp án cần chọn là: A
>> 2K9 Chú ý! Lộ Trình Sun 2027 - 1 lộ trình ôn đa kỳ thi (TN THPT, ĐGNL (Hà Nội/ Hồ Chí Minh), ĐGNL Sư Phạm, ĐGTD, ĐGNL Bộ Công an, ĐGNL Bộ Quốc phòngTD - Click xem ngay) tại Tuyensinh247.com. Cập nhật bám sát bộ SGK mới, Thầy Cô giáo giỏi, 3 bước chi tiết: Nền tảng lớp 12; Luyện thi chuyên sâu; Luyện đề đủ dạng đáp ứng mọi kì thi.
![]() |
![]() |
![]() |
![]() |
![]() |
![]() |
![]() |
![]() |
Hỗ trợ - Hướng dẫn
-
024.7300.7989
-
1800.6947
(Thời gian hỗ trợ từ 7h đến 22h)
Email: lienhe@tuyensinh247.com













