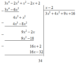
Số dư khi chia đa thức: \(3{x^4} - 2{x^3} + {x^2} - 2x + 2\) cho đa thức \(x - 2\) là:
Số dư khi chia đa thức: \(3{x^4} - 2{x^3} + {x^2} - 2x + 2\) cho đa thức \(x - 2\) là:
Đáp án đúng là: B
Quảng cáo
Áp dụng qui tắc chia đa thức cho đa thức.
Đáp án cần chọn là: B
>> Học trực tuyến lớp 8 trên Tuyensinh247.com. Đầy đủ khoá học các bộ sách: Kết nối tri thức với cuộc sống; Chân trời sáng tạo; Cánh diều. Cam kết giúp học sinh lớp 8 học tốt, hoàn trả học phí nếu học không hiệu quả. PH/HS tham khảo chi tiết khoá học tại: Link
![]() |
![]() |
![]() |
![]() |
![]() |
![]() |
Hỗ trợ - Hướng dẫn
-
024.7300.7989
-
1800.6947
(Thời gian hỗ trợ từ 7h đến 22h)
Email: lienhe@tuyensinh247.com










