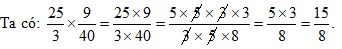
Thực hiện phép tính: \(\frac{{25}}{3} \times \frac{9}{{40}}.\)
Thực hiện phép tính: \(\frac{{25}}{3} \times \frac{9}{{40}}.\)
Đáp án đúng là: B
Quảng cáo
Thực hiện phép tính nhân theo quy tắc nhân hai phân số và rút gọn kết quả để được kết quả là một phân số tối giản.
Đáp án cần chọn là: B
>> Học trực tuyến các môn Toán, Tiếng Việt, Tiếng Anh lớp 5 trên Tuyensinh247.com. Cam kết giúp con lớp 5 học tốt, hoàn trả học phí nếu học không hiệu quả. PH/HS tham khảo chi tiết khoá học tại: Link
![]() |
![]() |
![]() |
Hỗ trợ - Hướng dẫn
-
024.7300.7989
-
1800.6947
(Thời gian hỗ trợ từ 7h đến 22h)
Email: lienhe@tuyensinh247.com







