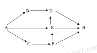
Sơ đồ bên minh họa lưới thức ăn trong một thế hệ sinh thái gồm các loài sinh vật: A, B, C, D,
Sơ đồ bên minh họa lưới thức ăn trong một thế hệ sinh thái gồm các loài sinh vật: A, B, C, D, E, F, H. Trong các phát biểu sau về lưới thức ăn này, có bao nhiêu phát biểu đúng?

(1). Lưới thức ăn này có tối đa 6 chuỗi thức ăn
(2). Loài D tham gia vào 3 chuỗi thức ăn khác nhau
(3). Loài E tham gia vào nhiều chuỗi thức ăn hơn loài F
(4). Nếu loại bỏ loài B ra khỏi quần xã thì loài D sẽ mất đi
(5). Nếu số lượng cá thể của loài C giảm thì số lượng cá thể loài F giảm
(6). Có 3 loài thuộc bậc dinh dưỡng cấp 5
(7). Chuỗi thức ăn dài nhất có 6 mắt xích
Đáp án đúng là: C
Quảng cáo
Đáp án cần chọn là: C
>> 2K9 Chú ý! Lộ Trình Sun 2027 - 1 lộ trình ôn đa kỳ thi (TN THPT, ĐGNL (Hà Nội/ Hồ Chí Minh), ĐGNL Sư Phạm, ĐGTD, ĐGNL Bộ Công an, ĐGNL Bộ Quốc phòngTD - Click xem ngay) tại Tuyensinh247.com. Cập nhật bám sát bộ SGK mới, Thầy Cô giáo giỏi, 3 bước chi tiết: Nền tảng lớp 12; Luyện thi chuyên sâu; Luyện đề đủ dạng đáp ứng mọi kì thi.
![]() |
![]() |
![]() |
![]() |
![]() |
![]() |
![]() |
![]() |
Hỗ trợ - Hướng dẫn
-
024.7300.7989
-
1800.6947
(Thời gian hỗ trợ từ 7h đến 22h)
Email: lienhe@tuyensinh247.com












