Ở người, tính trạng nhóm máu do gen I nằm trên NST thường quy định. Gen I có 3 alen là IA, IB,
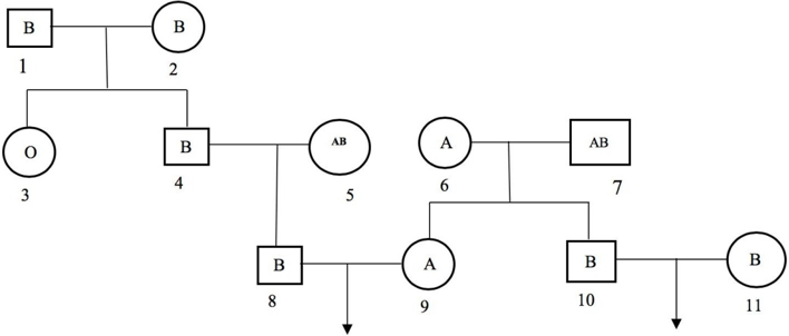
Ở người, tính trạng nhóm máu do gen I nằm trên NST thường quy định. Gen I có 3 alen là IA, IB, IO, trong đó IA và IB đều trội so với IO nhưng không trội so với nhau. Người có kiểu gen IAIA hoặc IAIO có nhóm máu A; kiểu gen IBIB hoặc IBIO có nhóm máu B; kiểu gen IAIB có nhóm máu AB; kiểu gen IOIO có nhóm máu O. Cho sơ đồ phả hệ:

Biết rằng không xảy ra đột biến, người số 11 có bố mang nhóm máu Cho các phát biểu:
(1) Biết được chính xác kiểu gen của 8 người.
(2) Xác suất sinh con có máu O của cặp 8 – 9 là 1/24.
(3) Xác suất sinh con có máu A của cặp 8 – 9 là 1/8.
(4) Xác suất sinh con có máu B của cặp 10 – 11 là 3/4.
Theo lí thuyết, có bao nhiêu phát biểu đúng?
Đáp án đúng là: A
Quảng cáo
Đáp án cần chọn là: A
>> 2K9 Chú ý! Lộ Trình Sun 2027 - 1 lộ trình ôn đa kỳ thi (TN THPT, ĐGNL (Hà Nội/ Hồ Chí Minh), ĐGNL Sư Phạm, ĐGTD, ĐGNL Bộ Công an, ĐGNL Bộ Quốc phòngTD - Click xem ngay) tại Tuyensinh247.com. Cập nhật bám sát bộ SGK mới, Thầy Cô giáo giỏi, 3 bước chi tiết: Nền tảng lớp 12; Luyện thi chuyên sâu; Luyện đề đủ dạng đáp ứng mọi kì thi.
![]() |
![]() |
![]() |
![]() |
![]() |
![]() |
![]() |
![]() |
Hỗ trợ - Hướng dẫn
-
024.7300.7989
-
1800.6947
(Thời gian hỗ trợ từ 7h đến 22h)
Email: lienhe@tuyensinh247.com














