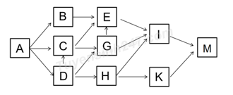
Xét một lưới thức ăn như sau: Có bao nhiêu phát biểu sau đây đúng? I. Chuỗi thức ăn dài
Xét một lưới thức ăn như sau:
Có bao nhiêu phát biểu sau đây đúng?
I. Chuỗi thức ăn dài nhất có 7 mắt xích.
II. Quan hệ giữa loài C và loài E là quan hệ cạnh tranh khác loài.
III. Tổng sinh khối của loài A lớn hơn tổng sinh khối của 9 loài còn lại.
IV. Nếu loài C bị tuyệt diệt thì loài D sẽ bị giảm số lượng cá thể.
Đáp án đúng là: A
Quảng cáo
Đáp án cần chọn là: A
>> 2K8 Chú ý! Lộ Trình Sun 2026 - 3IN1 - 1 lộ trình ôn 3 kì thi (Luyện thi 26+ TN THPT, 90+ ĐGNL HN, 900+ ĐGNL HCM, 70+ ĐGTD - Click xem ngay) tại Tuyensinh247.com.Đầy đủ theo 3 đầu sách, Thầy Cô giáo giỏi, luyện thi theo 3 giai đoạn: Nền tảng lớp 12, Luyện thi chuyên sâu, Luyện đề đủ dạng đáp ứng mọi kì thi.
![]() |
![]() |
![]() |
![]() |
![]() |
![]() |
![]() |
![]() |
Hỗ trợ - Hướng dẫn
-
024.7300.7989
-
1800.6947
(Thời gian hỗ trợ từ 7h đến 22h)
Email: lienhe@tuyensinh247.com












