Hỗn hợp E gồm 3 chất: X (là este của amino axit); Y và Z là hai peptit mạch hở, hơn kém nhau 1
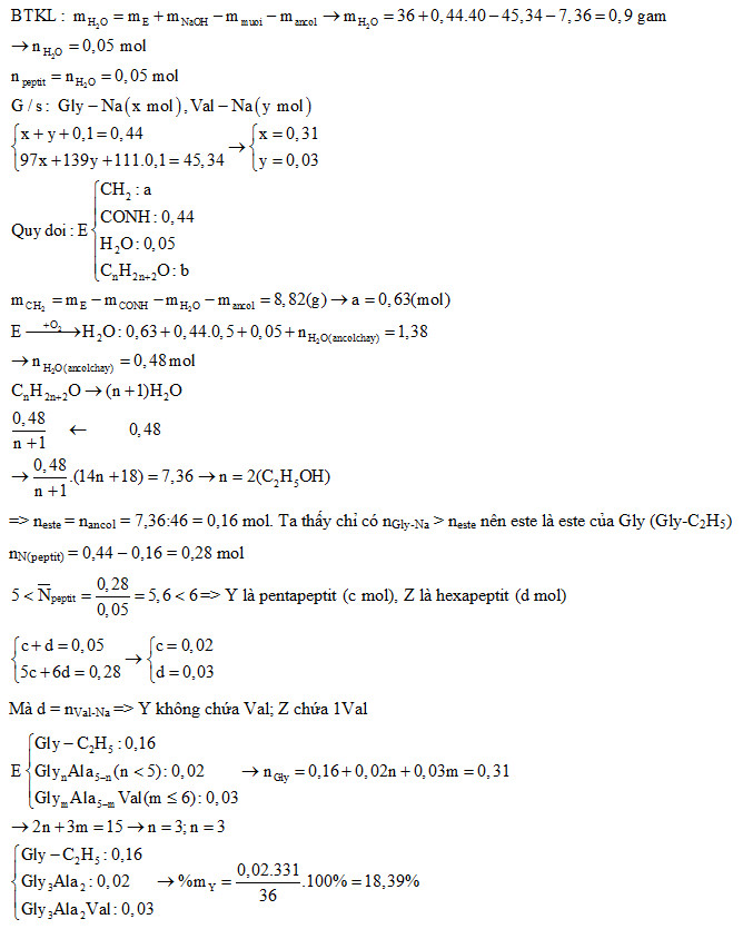
Hỗn hợp E gồm 3 chất: X (là este của amino axit); Y và Z là hai peptit mạch hở, hơn kém nhau 1 nguyên tử nitơ (đều chứa ít nhất hai loại gốc amino axit, MY < MZ). Cho 36 gam E tác dụng vừa đủ với 0,44 mol NaOH, thu được 7,36 gam ancol no, đơn chức, mạch hở và 45,34 gam ba muối của glyxin, thu được CO2, N2 và 1,38 mol H2O. Phần trăm khối lượng của Y trong E là
Đáp án đúng là: D
Quảng cáo
Bảo toàn khối lượng, bảo toàn nguyên tố, quy đổi peptit và biện luận.
Đáp án cần chọn là: D
>> 2K9 Chú ý! Lộ Trình Sun 2027 - 1 lộ trình ôn đa kỳ thi (TN THPT, ĐGNL (Hà Nội/ Hồ Chí Minh), ĐGNL Sư Phạm, ĐGTD, ĐGNL Bộ Công an, ĐGNL Bộ Quốc phòngTD - Click xem ngay) tại Tuyensinh247.com. Cập nhật bám sát bộ SGK mới, Thầy Cô giáo giỏi, 3 bước chi tiết: Nền tảng lớp 12; Luyện thi chuyên sâu; Luyện đề đủ dạng đáp ứng mọi kì thi.
![]() |
![]() |
![]() |
![]() |
![]() |
![]() |
![]() |
![]() |
Hỗ trợ - Hướng dẫn
-
024.7300.7989
-
1800.6947
(Thời gian hỗ trợ từ 7h đến 22h)
Email: lienhe@tuyensinh247.com













