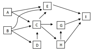
Lưới thức ăn sau đây mô tả một hệ sinh thái trên cạn, có bao nhiêu phát biểu sau đây
Lưới thức ăn sau đây mô tả một hệ sinh thái trên cạn, có bao nhiêu phát biểu sau đây đúng?

I. Chuỗi thức ăn dài nhất có 5 mắt xích.
II. Loài H và loài E có thể cạnh tranh với nhau về dinh dưỡng.
III. Loài C tham gia vào 9 chuỗi thức ăn.
IV. Nếu loài I bị con người săn bắt thì có thể sẽ làm cho loài C tăng số lượng cá thể.
Đáp án đúng là: C
Quảng cáo
Đáp án cần chọn là: C
>> 2K9 Chú ý! Lộ Trình Sun 2027 - 1 lộ trình ôn đa kỳ thi (TN THPT, ĐGNL (Hà Nội/ Hồ Chí Minh), ĐGNL Sư Phạm, ĐGTD, ĐGNL Bộ Công an, ĐGNL Bộ Quốc phòngTD - Click xem ngay) tại Tuyensinh247.com. Cập nhật bám sát bộ SGK mới, Thầy Cô giáo giỏi, 3 bước chi tiết: Nền tảng lớp 12; Luyện thi chuyên sâu; Luyện đề đủ dạng đáp ứng mọi kì thi.
![]() |
![]() |
![]() |
![]() |
![]() |
![]() |
![]() |
![]() |
Hỗ trợ - Hướng dẫn
-
024.7300.7989
-
1800.6947
(Thời gian hỗ trợ từ 7h đến 22h)
Email: lienhe@tuyensinh247.com












