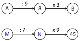
Cho sơ đồ như hình vẽ. Tìm các số A, B, M, N
Cho sơ đồ như hình vẽ. Tìm các số A, B, M, N :

Đáp án đúng là: C
Quảng cáo
Quan sát sơ đồ ta biết được: \(A:9 = 8;\,\,\,\,8 \times 3 = B\) và \(M:7 = N;\,\,\,N \times 9 = 45\)
Dựa vào dữ kiện đã cho có thể dễ dàng tìm được A,B,M,N
Đáp án cần chọn là: C
>> Học trực tuyến các môn Toán, Tiếng Việt, Tiếng Anh lớp 3 trên Tuyensinh247.com. Cam kết giúp con lớp 3 học tốt, hoàn trả học phí nếu học không hiệu quả. PH/HS tham khảo chi tiết khoá học tại: Link
![]() |
![]() |
![]() |
Hỗ trợ - Hướng dẫn
-
024.7300.7989
-
1800.6947
(Thời gian hỗ trợ từ 7h đến 22h)
Email: lienhe@tuyensinh247.com








