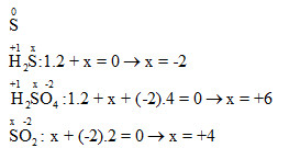
Số oxi hoá của nguyên tố lưu huỳnh trong các chất: S, H2S, H2SO4, SO2 lần lượt
Số oxi hoá của nguyên tố lưu huỳnh trong các chất: S, H2S, H2SO4, SO2 lần lượt là:
Đáp án đúng là: D
Quảng cáo
- Gọi số oxi hóa của nguyên tố S cần tìm là x, áp dụng quy tắc xác định số oxi hóa để tìm x.
Đáp án cần chọn là: D
>> Học trực tuyến Lớp 10 cùng thầy cô giáo giỏi tại Tuyensinh247.com, (Xem ngay) Cam kết giúp học sinh học tốt, bứt phá điểm 9,10 chỉ sau 3 tháng, làm quen kiến thức, định hướng luyện thi TN THPT, ĐGNL, ĐGTD ngay từ lớp 10
![]() |
![]() |
![]() |
![]() |
![]() |
![]() |
![]() |
![]() |
Hỗ trợ - Hướng dẫn
-
024.7300.7989
-
1800.6947
(Thời gian hỗ trợ từ 7h đến 22h)
Email: lienhe@tuyensinh247.com












