Sơ đồ bên dưới minh họa lưới thức ăn trong một hệ sinh thái gồm các loài sinh vật A, B, D,
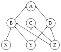
Sơ đồ bên dưới minh họa lưới thức ăn trong một hệ sinh thái gồm các loài sinh vật A, B, D, X, Y,Z.

Cho các kết luận sau về lưới thức ăn này:
(1). Nếu loài D bị loại ra khỏi quần xã loài A sẽ mất đi.
(2). Loài B tham gia vào 3 chuỗi thức ăn trong quần xã.
(3). Loài X suy giảm về số lượng sẽ khiến cho cạnh tranh giữa 3 loài B, C, D tăng lên.
Phương án trả lời đúng là
Đáp án đúng là: C
Quảng cáo
Đáp án cần chọn là: C
>> 2K8 Chú ý! Lộ Trình Sun 2026 - 3IN1 - 1 lộ trình ôn 3 kì thi (Luyện thi 26+ TN THPT, 90+ ĐGNL HN, 900+ ĐGNL HCM, 70+ ĐGTD - Click xem ngay) tại Tuyensinh247.com.Đầy đủ theo 3 đầu sách, Thầy Cô giáo giỏi, luyện thi theo 3 giai đoạn: Nền tảng lớp 12, Luyện thi chuyên sâu, Luyện đề đủ dạng đáp ứng mọi kì thi.
![]() |
![]() |
![]() |
![]() |
![]() |
![]() |
![]() |
![]() |
Hỗ trợ - Hướng dẫn
-
024.7300.7989
-
1800.6947
(Thời gian hỗ trợ từ 7h đến 22h)
Email: lienhe@tuyensinh247.com












