Cho sơ đồ phả hệ sau: Biết rằng mỗi bệnh đều do 1 trong 2 alen của một gen quy định, hai gen
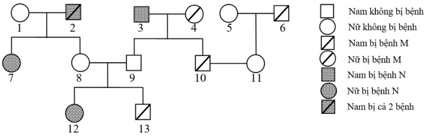
Cho sơ đồ phả hệ sau:

Biết rằng mỗi bệnh đều do 1 trong 2 alen của một gen quy định, hai gen này cùng nằm trên một nhiễm sắc thể và liên kết hoàn toàn. Phân tích phả hệ trên, có bao nhiêu phát biểu sau đây đúng
I. Có thể xác định được kiểu gen của 10 người.
II. Xác suất sinh con bị cả 2 bệnh của cặp10-11 là 25%.
III. Người 1 và người 5 có thể có kiểu gen giống nhau.
IV. Xác suất sinh con thứ ba bị 1 trong 2 bệnh của cặp 8-9 là 50%.
Đáp án đúng là: B
Quảng cáo
Đáp án cần chọn là: B
>> 2K8 Chú ý! Lộ Trình Sun 2026 - 3IN1 - 1 lộ trình ôn 3 kì thi (Luyện thi 26+ TN THPT, 90+ ĐGNL HN, 900+ ĐGNL HCM, 70+ ĐGTD - Click xem ngay) tại Tuyensinh247.com.Đầy đủ theo 3 đầu sách, Thầy Cô giáo giỏi, luyện thi theo 3 giai đoạn: Nền tảng lớp 12, Luyện thi chuyên sâu, Luyện đề đủ dạng đáp ứng mọi kì thi.
![]() |
![]() |
![]() |
![]() |
![]() |
![]() |
![]() |
![]() |
Hỗ trợ - Hướng dẫn
-
024.7300.7989
-
1800.6947
(Thời gian hỗ trợ từ 7h đến 22h)
Email: lienhe@tuyensinh247.com














