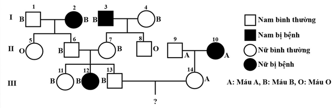
Sơ đồ phả hệ sau mô tả sự di truyền nhóm máu hệ ABO và một bệnh M ở người do 2 lôcut
Sơ đồ phả hệ sau mô tả sự di truyền nhóm máu hệ ABO và một bệnh M ở người do 2 lôcut thuộc 2 cặp NST khác nhau quy định. Biết bệnh M trong phả hệ là do một trong 2 alen có quan hệ trội lặn hoàn toàn của một gen quy định; quần thể này đang ở trạng thái cân bằng di truyền về tính trạng nhóm máu trong đó 4% số người có nhóm máu O và 21% số người có nhóm máu B.

Theo lý thuyết, có bao nhiêu phát biểu sau đây đúng?
(1) Có 5 người chưa xác định được kiểu gen về bệnh M.
(2) Tối đa 10 người có kiểu gen đồng hợp về nhóm máu.
(3) Xác suất để người III. 14 có kiểu gen dị hợp về nhóm máu là 4/11.
(4) Khả năng cặp vợ chồng III 3 và III14 sinh một đứa con có kiểu gen dị hợp về cả hai tính trạng là 21/44.
Đáp án đúng là: A
Quảng cáo
Đáp án cần chọn là: A
>> 2K8 Chú ý! Lộ Trình Sun 2026 - 3IN1 - 1 lộ trình ôn 3 kì thi (Luyện thi 26+ TN THPT, 90+ ĐGNL HN, 900+ ĐGNL HCM, 70+ ĐGTD - Click xem ngay) tại Tuyensinh247.com.Đầy đủ theo 3 đầu sách, Thầy Cô giáo giỏi, luyện thi theo 3 giai đoạn: Nền tảng lớp 12, Luyện thi chuyên sâu, Luyện đề đủ dạng đáp ứng mọi kì thi.
![]() |
![]() |
![]() |
![]() |
![]() |
![]() |
![]() |
![]() |
Hỗ trợ - Hướng dẫn
-
024.7300.7989
-
1800.6947
(Thời gian hỗ trợ từ 7h đến 22h)
Email: lienhe@tuyensinh247.com













