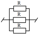
Có 3 điện trở \(R\) mắc như hình vẽ. Điện trở của bộ
Có 3 điện trở \(R\) mắc như hình vẽ. Điện trở của bộ là
Đáp án đúng là: D
Quảng cáo
Vẽ lại mạch điện tương đương
Điện trở của đoạn mạch mắc nối tiếp: \({R_{nt}} = {R_1} + {R_2}\)
Điện trở tương đương của đoạn mạch mắc song song: \(\dfrac{1}{{{R_{//}}}} = \dfrac{1}{{{R_1}}} + \dfrac{1}{{{R_2}}}\)
Đáp án cần chọn là: D
>> 2K9 Học trực tuyến - Định hướng luyện thi TN THPT, ĐGNL, ĐGTD ngay từ lớp 11 (Xem ngay) cùng thầy cô giáo giỏi trên Tuyensinh247.com. Bứt phá điểm 9,10 chỉ sau 3 tháng, tiếp cận sớm các kì thi.
![]() |
![]() |
![]() |
![]() |
![]() |
![]() |
![]() |
![]() |
Hỗ trợ - Hướng dẫn
-
024.7300.7989
-
1800.6947
(Thời gian hỗ trợ từ 7h đến 22h)
Email: lienhe@tuyensinh247.com












