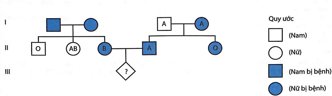
Sự di truyền một bệnh ở người do một trong hai alen của gen quy định và được thể hiện qua
Sự di truyền một bệnh ở người do một trong hai alen của gen quy định và được thể hiện qua sơ đồ phả hệ dưới đây. Các chữ cái cho biết các nhóm máu tương ứng của mỗi người. Biết rằng sự di truyền bệnh trên độc lập với sự di truyền các nhóm máu, quá trình giảm phân bình thường và không có đột biến xảy ra.

Xác suất để cặp vợ chồng ở thế hệ thứ II trong gia đình sinh người con có nhóm máu O và không bị bệnh trên là
Đáp án đúng là: B
Quảng cáo
Đáp án cần chọn là: B
>> 2K9 Chú ý! Lộ Trình Sun 2027 - 1 lộ trình ôn đa kỳ thi (TN THPT, ĐGNL (Hà Nội/ Hồ Chí Minh), ĐGNL Sư Phạm, ĐGTD, ĐGNL Bộ Công an, ĐGNL Bộ Quốc phòngTD - Click xem ngay) tại Tuyensinh247.com. Cập nhật bám sát bộ SGK mới, Thầy Cô giáo giỏi, 3 bước chi tiết: Nền tảng lớp 12; Luyện thi chuyên sâu; Luyện đề đủ dạng đáp ứng mọi kì thi.
![]() |
![]() |
![]() |
![]() |
![]() |
![]() |
![]() |
![]() |
Hỗ trợ - Hướng dẫn
-
024.7300.7989
-
1800.6947
(Thời gian hỗ trợ từ 7h đến 22h)
Email: lienhe@tuyensinh247.com












