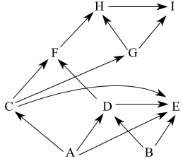
Lưới thức ăn bên đây được coi là lưới thức ăn điển hình ở một quần xã trên cạn. Cho
Lưới thức ăn bên đây được coi là lưới thức ăn điển hình ở một quần xã trên cạn. Cho các nhận định:

(1) Xét về khía cạnh hiệu suất sinh thái, tổng sinh khối của loài C và D có lẽ thấp hơn so với tổng loài A và B
(2) Loài A và B chắc chắn là các sinh vật sản xuất chính trong quần xã kể trên.
(3) Sự diệt vong của loài C làm gia tăng áp lực cạnh tranh trong nội bộ loài H.
(4) Sự diệt vong loài C và D khiển cho quần xã bị mất tới 66,7% số loài.
Số nhận định KHÔNG chính xác:
Đáp án đúng là: B
Quảng cáo
Đáp án cần chọn là: B
>> 2K9 Chú ý! Lộ Trình Sun 2027 - 1 lộ trình ôn đa kỳ thi (TN THPT, ĐGNL (Hà Nội/ Hồ Chí Minh), ĐGNL Sư Phạm, ĐGTD, ĐGNL Bộ Công an, ĐGNL Bộ Quốc phòngTD - Click xem ngay) tại Tuyensinh247.com. Cập nhật bám sát bộ SGK mới, Thầy Cô giáo giỏi, 3 bước chi tiết: Nền tảng lớp 12; Luyện thi chuyên sâu; Luyện đề đủ dạng đáp ứng mọi kì thi.
![]() |
![]() |
![]() |
![]() |
![]() |
![]() |
![]() |
![]() |
Hỗ trợ - Hướng dẫn
-
024.7300.7989
-
1800.6947
(Thời gian hỗ trợ từ 7h đến 22h)
Email: lienhe@tuyensinh247.com












