Cho hàm số \(f\left( x \right)\) có bảng biến thiên như sau: Hàm số đã cho đồng biến trên
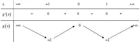
Cho hàm số \(f\left( x \right)\) có bảng biến thiên như sau:

Hàm số đã cho đồng biến trên khoảng nào sau đây?
Đáp án đúng là: C
Quảng cáo
Dựa vào BBT xác định các khoảng đồng biến của hàm số \(y = f\left( x \right)\) là các khoảng ứng với \(f'\left( x \right) > 0\).
Đáp án cần chọn là: C
>> 2K9 Chú ý! Lộ Trình Sun 2027 - 1 lộ trình ôn đa kỳ thi (TN THPT, ĐGNL (Hà Nội/ Hồ Chí Minh), ĐGNL Sư Phạm, ĐGTD, ĐGNL Bộ Công an, ĐGNL Bộ Quốc phòngTD - Click xem ngay) tại Tuyensinh247.com. Cập nhật bám sát bộ SGK mới, Thầy Cô giáo giỏi, 3 bước chi tiết: Nền tảng lớp 12; Luyện thi chuyên sâu; Luyện đề đủ dạng đáp ứng mọi kì thi.
![]() |
![]() |
![]() |
![]() |
![]() |
![]() |
![]() |
![]() |
Hỗ trợ - Hướng dẫn
-
024.7300.7989
-
1800.6947
(Thời gian hỗ trợ từ 7h đến 22h)
Email: lienhe@tuyensinh247.com












